[Back to Issue 11 ToC] [Back to Journal Contents] [Back to Biochemistry (Moscow) Home page]

Erratum to: “Structural Relationships Between Genetically Closely Related O-Antigens of Escherichia coli and Shigella spp.” [Biochemistry (Moscow), 81, 600 (2016)]


Ya. A. Knirel1,a*, Chengqian Qian2, A. S. Shashkov1, O. V. Sizova1, E. L. Zdorovenko1, O. I. Naumenko1, S. N. Senchenkova1, A. V. Perepelov1, and Bin Liu2,b

1Zelinsky Institute of Organic Chemistry, Russian Academy of Sciences, 119991 Moscow, Russia; fax: +7 (499) 135-5328

2Nankai University, TEDA Institute of Biological Sciences and Biotechnology, Key Laboratory of Molecular Microbiology and Technology, Ministry of Education, 300457 Tianjin, China

* To whom correspondence should be addressed.


DOI: 10.1134/S0006297918110123


Errors have been found in polysaccharide structures on pages 603 (Fig. 3), 606 (Figs. 13-15) and 607 (Fig. 17). The following are the correct structures.

Figure 3

Fig. 3. O-polysaccharide of E. coli O183 and S. boydii type 10 [13].

Figure 13

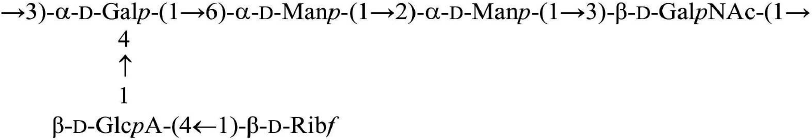
Fig. 13. O-polysaccharide of S. boydii type 6 [13].

Figure 14

Fig. 14. O-polysaccharide of E. coli O169 [7].

Figure 15

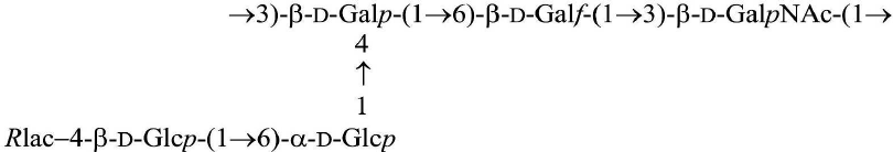
Fig. 15. O-polysaccharide of E. coli O124 [4] and S. dysenteriae type 3 [4].

Figure 17

Fig. 17. O-polysaccharide of E. coli O164 [4].